净值型银行理财产品定价策略研究
定期查看理财产品的净值变化,及时调整持有策略 #生活知识# #生活指南# #理财建议# #银行理财产品#
发布机构:普益标准?诠资管研究中心
一、常见银行理财产品定价方法
银行理财产品定价方法较多,本文根据目前较为常见的盯住市场法、资产定价法和流动性预期法进行分析。
1.盯住市场法
盯住市场法作为常用的产品定价方法,其主要策略是两种:一是,参考同类竞争对手的产品制定业绩基准;二是,根据挂钩标的的涨跌幅波动作为基础,在此基础上附加一个对投资者具有足够吸引力,同时又不会过度损害管理者利益的利差,作为产品的业绩比较基准。
图表1:同类理财产品的预期收益率/业绩基准具有一致性

资料来源:普益标准调研数据,普益标准整理
图表2:部分产品案例

资料来源:普益标准调研数据,普益标准整理
2.资产定价法
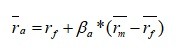
资产定价理论是金融经济学最重要的主题之一,其主要的定价思路即资产的即期价格等于未来收益的预期折现加上市场相关性溢价。资产定价模型阐述了在投资者都采用马科维茨的理论进行投资管理的条件下市场均衡状态的形成,把资产的预期收益与预期风险之间的相关关系用线性关系进行描述,即:

其中,rf是无风险回报率,纯粹的货币时间价值;β是投资资产与市场之间的相关系数,rm是市场期望回报率,(rm-rf)则代表资产的市场溢价。
预期收益型产品的定价模式中,产品的收益不得高于所投资资产的收益。如果收益倒挂,银行理财的发行主体便出现亏损。由于预期收益型产品多是银行资金池运作,这部分亏损的风险就要由资金池来承担,从而导致银行承担刚性兑付的风险,长期来看将增加整个银行系统的风险爆发的可能性。
净值型产品的业绩更需要考虑所投资资产的表现,投资资产的未来收益可以通过回报率或无风险收益率来折现,然后得到资产的即期价值,由此来对理财产品进行定价。银行理财市场存在较多不确定性,因此对市场风险进行衡量正是资产定价模型的实际用途之一。资产定价模型的目的即基于无风险利率和市场风险两个因素,在市场风险和收益之间取得均衡。
商业银行理财产品是由多资产组合模式构成,通过不同形式获取各个资产的价格变动趋势,并充分考虑其资产的收益与风险因素,通过模型预测产品收益率变动方向。通过了解资产定价理论有助于投资者更好的了解理财产品收益率的形成,另一方面对于银行的转型发展,创新型的理财产品发行有很好的推动作用。
3.流动性预期法
流动性预期法是从流动性溢价的角度出发进行资产定价。理论上,流动性差的资产因较高的交易成本其市场价格应比同类流动性相对较高的资产价格低,或者说,投资者对该资产要求较高的预期收益,而流动性低资产与流动性高资产的预期收益之间的价差就是流动性溢价。
流动性溢价是资产定价的一个重要影响因素,流动性低的资产其预期收益高,而流动性高的资产其预期收益低。在银行理财产品定价中,由于投资者往往对期限较长的产品要求更高的投资收益率,所以从预期年化收益率的期限结构上看,较长期限的产品往往需要提供更高的收益率。
从2010年5月-2020年5月的银行理财市场数据来看,对比不同期限理财产品的平均预期年化收益率,可以看出较为明显的流动性溢价,期限越长的理财产品平均预期年化收益率倾向于越高。
图表3:2010年5月-2020年5月不同期限银行理财产品平均预期年化收益率

资料来源:普益标准调研数据,普益标准整理
二、影响银行理财产品定价的主要因素
理财产品种类繁多,从产品定价方式来说,可以分为净值型产品和预期收益型产品,这两种也是目前理财市场上最常见的理财产品。
1.影响预期收益型产品定价的主要因素
预期收益收益型理财产品的定价主要是依托于资金池运营进行的定价,本质上是一种刚性兑付。在银行的资金池中,资产与负债、权益之间形成一种“总对总”的关系,单项资产与单项、权益负债之间没有一一对应的关系,资金池运营事实上形成混同运作、滚动发行、期限错配和分离定价的形式。银行将股东或债权人的资金汇集于资金池中,并将资金池中的资金投向不同的资产,股东、债权人的本益损失风险都被资金池所吸收。最后,股东、债权人将获得预期的本息回报,而在投资中间产生的实际损失由银行的资金池进行承担。
从预期收益型产品的定价方法可以看出,影响其定价的主要因素在于银行资金池的整体投资收益和滚动发行产品的可持续性。预期收益型产品在资金池里运作,银行对资金进行统筹管理,并根据实际情况把资金投入不同的资产包,资产包的所有收益即为理财产品的收益来源;同时银行再对产品进行分离定价、滚动发行,维系持续性的资金链,保证资金池的稳定性。最后,银行在资金池的整体投资能够提供收益且滚动发行可以持续进行的基础上对理财产品进行定价。
2.影响挂钩型产品定价的主要因素
挂钩型产品作为由预期收益型向净值型过渡的产品,其定价方法主要是寻找合适的挂钩标的,比如宽基指数、外汇汇率和黄金期货等大多为温和看涨的标的,底层资产主要配置协议存款、同业理财、报价式大集合、ABS、标准化信托等风险较低的优质资产,挂钩工具主要依托大型券商场外期权等金融衍生工具。
从挂钩型产品的定价方法可以看出,影响其定价的主要因素在于其挂钩标的和底层资产。挂钩标的会对产品的定价形成价格区间,底层资产的收益则最终决定了产品的价格。
3.影响净值型产品定价的主要因素
影响净值型产品定价的主要因素可以分为外部因素和内部因素。
图表4:净值型产品定价影响因素

资料来源:普益标准调研数据,普益标准整理
(1)外部因素
外部因素主要包括宏观经济因素和政策因素,其中宏观经济因素主要影响到净值型产品的实际投资收益,进而对净值型产品的业绩比较基准产生影响。由于净值型产品主要分为现金管理类产品、固收类产品、权益类产品和混合类产品,其定价的差异来自于不同资产的配置比例,来自宏观经济因素的影响可以区分为来自于货币市场、债券市场、股票市场的影响因素。
从货币市场影响因素来看,以再贷款利率和再贴现利率为代表的法定利率、法定准备金率和公开市场操作,以及以票据贴现率、债券逆回购利率和银行间同业拆借利率为代表的市场利率,均能对净值型产品的业绩比较基准产生影响。货币市场资金利率走高,将对不同类型的净值型产品均产生影响,推动业绩比较基准走高,以此吸引投资者。
从债券市场影响因素来看,银行理财产品的投资策略中几乎都会配置债券类资产,且债券配置比例不低,尤其是固定收益类净值型产品,其大部分资产都将被配置到债券类资产,比如中债中短期票据、中债国债和中债企业债等资产。由此可见,债券市场行情将对净值型产品收益率产生较大影响,从而影响到净值型产品的业绩比较基准的确定。
从股票市场影响因素来看,部分追求更高收益的权益类产品和混合类产品中间权益类资产占比较大,股票市场行情波动能够对此类净值型产品收益率产生较大的影响,若经济进入下行阶段,相应的净值型产品业绩比较基准可能也会出现下降的趋势。
从政策因素来看,净值型理财产品收益率的变化与监管政策的导向有较大的关联,同时,国内金融政策的发布对大类资产的收益率会产生影响,进而传导至净值型产品,影响其表现。
(2)内部因素
内部因素主要包括产品期限结构、风险评级和投资金额起点。
在期限结构方面,封闭式净值型产品在银行的流动性管理方面相对开放式净值产品更具有优势,不用预留开放期内随时可以赎回的资金,产品一旦购买必须持有至到期,持有期间不能赎回,资金的运用效率更高,由于开放式产品需要随时应对申购与赎回,产品管理者必须预备部分高流动性资产以应对赎回压力,导致投资效率的降低;另外,由于流动性风险的存在,投资者往往会对封闭式产品要求比开放式产品更高的收益率,对长期限的产品要求比短期限产品更高的收益率。综合起来看,封闭式产品比开放式产品定价更高,期限长的产品比期限短的产品定价更高。
图表5:不同期限净值型产品平均业绩比较基准

资料来源:普益标准调研数据,普益标准整理
在风险评级方面,净值型产品收益率根据其投资标的的不同,风险评级不同,从而导致业绩比较基准也有所不同。一般来说,风险评级较低的产品其业绩比较基准设定较低,一般都是固收类产品,其投资标的一般都倾向于债券类资产、货币基金类资产等;风险评级较高的平衡型产品主要投资于权益类资产和基金类资产,在对风险有较为严格的控制的情况下收益和风险较为平衡,业绩比较基准设定水平适中;风险评级最高的成长型和激进型产品,一般投资对象更倾向于加大股权资产和金融衍生品的比重来获得超额收益,其获取较高收益的可能性更高,但亏损的风险也同样较高。
图表6:不同类型产品平均业绩比较基准

资料来源:普益标准调研数据,普益标准整理
综上,净值型理财产品最终的收益定价和投资标的有关,且权益类资产的收益率要高于债券类资产,债券类资产收益率又高于现金及存款类资产。每种不同的标的资产在不同的净值型产品中占比不同,从而导致产品的收益率水平不同,从而影响到净值型产品的定价。高风险资产往往伴随着高收益,净值型理财产品收益率与其投资的资产风险程度呈正相关。不同投资标的决定了净值型产品的风险评级,根据风险等级,其定价有所不同。
在投资金额起点方面,由于产品设定投资金额越低,其面向投资者的覆盖范围就更广,投资者的风险承受能力水平的分布更为分散。因此,为了保证低风险承受能力投资者的利益,投资起点低的产品更加注重对风险的管控,投资风格更为保守,由于收益和风险之间的替换关系,产品收益率也就更低,业绩比较基准也相应更低。
图表7:不同投资金额起点产品平均业绩比较基准

资料来源:普益标准调研数据,普益标准整理
三、净值化产品是否需要定价?
净值型理财产品定价方法本质上就是一个产品净值的估值问题,产品的最终收益情况都用净值来表示。净值型理财产品收益率一般事先预定一个业绩比较基准,然后超额收益部分提取业绩报酬,而业绩比较基准只是作为一个参考值,作为管理人提取业绩报酬的标准。净值型理财产品的估值是指按照公允价格对其资产和负债的价值进行计算、评估,以确定单位产品份额净值的过程,单位产品份额净值的计算公式为总资产减去总负债,然后除以单位产品份额的总数。
净值型产品实际投资范围更加广泛,可挂钩不同的市场,尤其是具有较高风险的市场。在经济上行时,收益往往比预期收益型产品要高,但经济下行时却可能亏损,无法保证本益。预期收益型理财产品的收益率都是在产品成立之时就既定好的,产品到期后按照预期收益率给予客户相关理财收益。与预期收益型产品不同,净值型理财产品大多是通过投资资产的分红和持有期内寄出资产带来的回报率。
按照《关于规范金融机构资产管理业务的指导意见》第十八条的要求,金融资产应当坚持公允价值计量原则,使用市值进行计量。打破刚兑后,银行理财业务开始由预期收益型产品向净值型产品过渡,净值型产品的业绩比较基准仅能对投资者提供收益参考,并不保证必然能够获得基准收益。
但是,对净值型产品进行合理的定价仍是必要的。净值型产品的业绩比较基准必须与产品可能获得的实际收益相适应,要能够反映出投资的真实收益水平,否则,设定过低的业绩比较基准将导致无法吸引投资者,而设定过高的业绩比较基准将导致实际收益与投资者的预期收益之间出现较大差距,引起银行声誉的损失,甚至引发纠纷。
本文首发于微信公众号:普益标准。文章内容属作者个人观点,不代表和讯网立场。投资者据此操作,风险请自担。
(责任编辑:董云龙 )
网址:净值型银行理财产品定价策略研究 https://c.klqsh.com/news/view/283616
相关内容
银行理财产品投资指南:挖宝净值型理财银行理财产品投资指南:挖宝净值型理财
银行理财产品的投资策略有哪些类型?
银行理财产品投资指南——挖宝净值型理财
银行理财产品的投资策略如何制定?
威海银行—快乐享盈睿选净值型理财产品净值公告
银行的理财产品投资策略有哪些?
2025年银行理财产品行业发展现状及市场前景深度调研分析
揭秘信银理财结构性产品投资策略,南财理财通专访信银理财投资经理左婷婷
银行理财产品投资策略有哪些?

