【强化学习】Reward Model(奖励模型)详细介绍
'化妆工具使用教学'App详细介绍各类工具 #生活技巧# #化妆技巧教学# #化妆教程app#
本篇文章是博主强化学习(RL)领域学习时,用于个人学习、研究或者欣赏使用,并基于博主对相关等领域的一些理解而记录的学习摘录和笔记,若有不当和侵权之处,指出后将会立即改正,还望谅解。文章分类在强化学习专栏: 【强化学习】- 【RL Latest Tech】(15)---《Reward Model(奖励模型)详细介绍》
Reward Model(奖励模型)详细介绍
Reward Model(奖励模型)是近年来在深度学习和强化学习领域广泛应用的一种技术,特别是在生成式模型(如大型语言模型)和强化学习(RL)结合的场景中,起到了至关重要的作用。它在多个领域的应用中,尤其是在自然语言处理(NLP)和数学推理领域,展现了显著的潜力。
1. 背景和起源随着深度学习技术的发展,尤其是大型语言模型(LLMs)的崛起,如何有效地评估模型生成的响应质量成为一个重要的问题。早期,监督学习方法通过标注数据训练模型来生成高质量的响应,但这种方法难以处理复杂的偏好和评估机制。此时,Reward Model的提出为此提供了新的解决方案。
Reward Model的核心思想是利用强化学习中的“奖励信号”来引导模型生成更符合人类偏好的输出。在这种框架下,Reward Model通过为每个生成的响应分配一个奖励值,反馈模型生成的质量或人类偏好。
例如,生成的文本被赋予一个标量奖励值,作为模型进一步优化的依据
2. 与强化学习的结合Reward Model与强化学习的结合,特别是在强化学习从人类反馈(RLHF, Reinforcement Learning from Human Feedback)中的应用,极大地推动了该技术的进展。在RLHF的框架中,Reward Model发挥着核心作用,步骤如下:
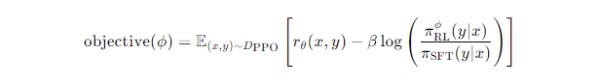
Step 1:使用监督微调(SFT)对预训练语言模型进行优化,使其能够根据提示生成较高质量的响应。Step 2:利用经过SFT训练的基础模型,生成多个候选响应,并由人类评估这些响应的质量,基于人类反馈训练一个Reward Model。Step 3:通过强化学习算法(如PPO),基于Reward Model的评分进一步优化基础模型在这个过程中,Reward Model通过对生成响应的质量打分,帮助模型学习人类的偏好,进而提升生成内容的质量。

随着研究的深入,Reward Model的形式不断多样化,出现了多种不同类型的奖励模型。最常见的有两种:
Outcome Reward Model (ORM):这种模型关注的是最终结果的质量,即模型生成的输出是否满足目标要求。ORM通过对生成的最终答案进行评分,来评估模型的表现。 Process Reward Model (PRM):与ORM不同,PRM不仅仅关注最终答案,还对模型的推理过程进行评分。PRM在生成答案的过程中逐步激励或惩罚模型,引导模型朝着更可解释、更稳定的推理路径发展。然而,PRM在大规模推理场景中的效果尚不理想,面临一些挑战,如计算复杂度和推理的可解释性。4.Reward Model原理Reward Model(奖励模型)是人工智能训练中的关键组件,简单来说就像给AI定制的"评分老师"。用小朋友学画画的例子帮你理解:
核心原理:通过给AI的行为打分,告诉它"什么是对的/好的",就像老师批改作业时给分数和评语。
实际案例——训练聊天机器人:
收集数据:记录1000条人类客服与客户的真实对话 定义评分标准: 正确性(+3分)响应速度(+1分)语气友好(+2分)提供错误信息(-5分) 训练奖励模型过程:代码语言:javascript
AI代码解释
复制
# 模拟训练代码 class RewardModel: def __init__(self): self.weights = {"正确性": 0.3, "响应速度": 0.1, "语气友好": 0.2} def calculate_reward(self, response): score = 0 if check_accuracy(response): # 正确性检查 score += 3 * self.weights["正确性"] if check_speed(response): # 响应速度检查 score += 1 * self.weights["响应速度"] if check_tone(response): # 语气检查 score += 2 * self.weights["语气友好"] return score
4.应用场景: 当AI生成回复"您的问题需要联系技术部门"时:
正确性:✅(+3×0.3=0.9)响应速度:✅(+1×0.1=0.1)语气友好:❌(0) 总分:1.0 → 奖励模型会建议改进语气关键特点:
像体育比赛的评分规则(但更复杂)需要平衡不同评分标准(就像跳水比赛的难度系数)会不断进化(随着数据积累调整权重)RM这个模型就像给AI装了个"价值指南针",虽然看不见摸不着,但决定了AI的行为方向。就像教小朋友时,我们不会直接代他做作业,而是通过表扬和纠正来引导他学会正确的方法。
5.应用实例目前已经有许多工作将强化学习与奖励模型进行结合使用,例如存在多个重要工作将PPO与reward model结合使用,特别是在需要人类反馈或复杂奖励建模的场景中:
1.OpenAI的InstructGPT/ChatGPT:
代码语言:javascript
AI代码解释
复制
# 典型实现架构: def train_ppo_with_reward_model(): # 1. 预训练语言模型作为策略 policy_model = LanguageModel() # 2. 单独训练奖励模型(基于人类偏好数据) reward_model = train_reward_model(human_feedback_data) # 3. PPO使用奖励模型生成奖励信号 ppo_trainer = PPOTrainer( policy=policy_model, reward_fn=reward_model.predict # 关键集成点 )
2.DeepMind的Sparrow:
代码语言:javascript
AI代码解释
复制
// ... existing code ... # 奖励模型整合到PPO训练循环中 for episode in training_loop: responses = policy.generate() rewards = reward_model.score(responses) # 使用RM评分 advantages = calculate_advantages(rewards) policy.update_with_ppo(advantages) // ... existing code ...
3.Anthropic的Constitutional AI:
使用多个reward model组合(安全性、有用性等)PPO同时优化多个奖励信号通过加权组合不同reward model的输出技术特点:
Reward model通常独立于PPO训练(预训练或同步更新)常见于自然语言处理任务(对话系统、文本生成)解决稀疏奖励/复杂奖励建模问题论文参考:OpenAI的《Training language models to follow instructions with human feedback》(2022)---OpenAI的InstructGPT/ChatGPT这些实现保持PPO的核心算法不变,但将环境奖励替换为reward model的输出,形成:策略网络 → 生成行为 → reward model评分 → PPO更新的闭环。
6.论文解读摘要:
大型语言模型虽然能够执行多种自然语言处理任务,但往往表现出与用户意图不一致的行为,如编造事实、生成有害内容等。因此,需要对这些模型进行对齐,使其更好地遵循用户的指示。 本文提出了一种通过对人类反馈进行微调来对齐语言模型的方法,主要分为三个步骤:监督微调、奖励模型训练和基于奖励模型的强化学习。 实验结果表明,经过对齐的InstructGPT模型在遵循用户指示、减少有害输出和提高真实性方面优于原始的GPT-3模型,且在大多数情况下,13亿参数的InstructGPT模型的表现优于1750亿参数的GPT-3模型。引言:
大型语言模型虽然能够执行多种自然语言处理任务,但往往表现出与用户意图不一致的行为,如编造事实、生成有害内容等。因此,需要对这些模型进行对齐,使其更好地遵循用户的指示。 本文提出了一种通过对人类反馈进行微调来对齐语言模型的方法,主要分为三个步骤:监督微调、奖励模型训练和基于奖励模型的强化学习。相关工作:
研究了与模型对齐和从人类反馈中学习相关的技术,如强化学习从人类反馈(RLHF)、跨任务泛化等。 探讨了语言模型遵循指令的训练方法,以及在自然语言处理任务中的应用。方法和实验细节:
高阶方法论: 采用与Ziegler等人和Stiennon等人类似的方法,通过对人类反馈进行微调来对齐语言模型,具体步骤包括收集演示数据、训练监督策略、收集比较数据和训练奖励模型,最后使用PPO算法对监督策略进行优化。 数据集: 主要包括通过OpenAI API提交的文本提示,以及由标注者编写的提示。数据集涵盖了多种自然语言任务,如生成、问答、对话、总结等。 任务: 训练任务来自两个来源:标注者编写的提示和通过早期InstructGPT模型提交的提示。 人类数据收集: 聘请了约40名标注者来收集演示和比较数据,并进行主要评估。标注者的选择基于其在筛选测试中的表现,以确保他们对不同人群的偏好敏感,并能够识别潜在的有害输出。模型:
从GPT-3预训练语言模型开始,使用三种不同的技术进行训练:监督微调(SFT)、奖励建模(RM)和强化学习(RL)。 监督微调(SFT): 使用标注者的演示数据对GPT-3进行微调,训练了16个epoch,使用余弦学习率衰减和0.2的残差dropout。 奖励建模(RM): 使用标注者的比较数据训练奖励模型,预测人类标注者偏好的输出。使用6B的奖励模型,因为其训练更稳定。 强化学习(RL): 使用PPO算法对SFT模型进行微调,将奖励模型的输出作为奖励信号。同时,引入预训练数据的更新,以减少在公共NLP数据集上的性能退化。结果:
API分布上的结果: 标注者显著偏好InstructGPT模型的输出,其在遵循用户指示、减少有害输出和提高真实性方面优于GPT-3模型。例如,175B InstructGPT模型的输出在85±3%的情况下优于GPT-3模型。 公共NLP数据集上的结果: InstructGPT模型在TruthfulQA数据集上生成更真实和信息丰富的答案,在RealToxicityPrompts数据集上生成的有害内容较少,但在Winogender和CrowSPairs数据集上没有显著改进。 定性结果: InstructGPT模型在非英语语言任务和代码相关任务上表现出一定的泛化能力,但仍然存在简单错误,如未能遵循具有错误前提的指令、过度对冲等。讨论:
对齐研究的影响: 该研究为对齐研究提供了现实世界的基础,验证了RLHF作为一种低税收对齐技术的有效性。 我们对齐的对象是谁: 模型的对齐受到多种因素的影响,包括标注者的偏好、研究人员的指示等。需要进一步研究如何设计一种公平、透明且具有问责机制的对齐过程。 局限性: InstructGPT模型仍然存在生成有害或有偏见内容、编造事实等问题。此外,模型的大小和性能之间存在权衡,需要进一步优化。结论:
通过对人类反馈进行微调,可以显著提高语言模型在遵循用户指示、减少有害输出和提高真实性方面的表现。然而,仍有许多工作需要完成,以进一步提高模型的安全性和可靠性。 7.论文建模在论文《Training language models to follow instructions with human feedback》中,奖励建模(RM)和PPO算法的结合方式如下:
奖励建模(RM)数据收集:收集人类标注者对模型输出的比较和排名数据。这些数据包括对同一输入的不同模型输出的偏好排名。训练目标:训练奖励模型来预测人类标注者更偏好的输出。奖励模型的输入是提示(prompt)和模型的输出(completion),输出是一个标量值,表示该输出的奖励。模型架构:奖励模型基于GPT-3的架构,但输出层被修改为一个标量输出,用于表示奖励。损失函数:使用交叉熵损失函数来训练奖励模型。具体来说,对于每一对输出(preferred completion和less preferred completion),奖励模型的损失函数如下:

奖励模型(RM)在强化学习过程中替代了环境提供的奖励函数,成为策略模型优化的唯一奖励来源。奖励模型的输出是一个标量值,表示模型输出的奖励,这个奖励值用于指导策略模型的优化方向。通过这种方式,奖励模型和PPO算法紧密结合,共同实现了对语言模型的对齐和优化。
[Notice] 常见误区:RM不是简单的打分器,而是复杂的价值判断系统RM需要避免"分数欺骗"(比如为了快速回复牺牲正确性)RM需要定期更新(就像考试大纲会变化)8. 面临的挑战与发展方向尽管Reward Model在多个领域展现了其强大的潜力,但其发展仍然面临诸多挑战:
模型偏差与可解释性:Reward Model在处理复杂任务时,容易受到数据偏差的影响,并且模型的决策过程往往缺乏可解释性。跨任务泛化能力:Reward Model是否能有效地适应不同任务或领域,仍然是一个未解之谜。尤其是在跨领域任务的应用中,Reward Model的泛化能力和稳定性有待进一步验证。PRM的局限性:尽管PRM在一些任务中表现出色,但其在处理大规模推理任务时仍然存在很多局限性。研究者正在探索如何改进PRM,提升其在复杂推理任务中的表现。9. 未来展望Reward Model的未来发展方向主要集中在以下几个方面:
优化算法:如何设计更高效的算法,以解决Reward Model在推理过程中的计算复杂度和可扩展性问题。多模态学习:Reward Model未来可能与图像、视频等多模态数据结合,进一步推动跨领域的应用。自监督学习:通过自监督学习,Reward Model可能能够减少对人工标注数据的依赖,提高训练效率。综上所述,Reward Model作为强化学习与深度学习结合的产物,已经在多个领域得到广泛应用,并展现出强大的潜力。随着技术的不断进步,Reward Model有望在更广泛的应用场景中发挥更大作用
本文参与 腾讯云自媒体同步曝光计划,分享自作者个人站点/博客。
原始发表:2025-03-21,如有侵权请联系 [email protected] 删除
网址:【强化学习】Reward Model(奖励模型)详细介绍 https://c.klqsh.com/news/view/352170
相关内容
强化学习规则奖励机制(Rule强化学习
励志歌详细介绍
成功心理学详细介绍
好习惯这样养成详细介绍
绍兴花边详细介绍:特点 历史
吉林峰育青春期叛逆矫正基地详细介绍
精选高考励志书籍介绍
谷歌seo优化策略,附详细介绍
手帐介绍课件模板图片.pptx

